Interpreting Simulation Results
Running a simulation is only half the work. Knowing how to read the output, judge whether the fit is good enough, and understand what the model is sensitive to is what turns a simulation into a useful tool for decision-making.
Reading a Simulated Chromatogram
A simulated chromatogram shows the predicted outlet concentration of each component over time, just like an experimental UV or conductivity trace. But unlike an experiment, the simulation gives you access to information that is not directly measurable.

Things to pay attention to in a simulated chromatogram:
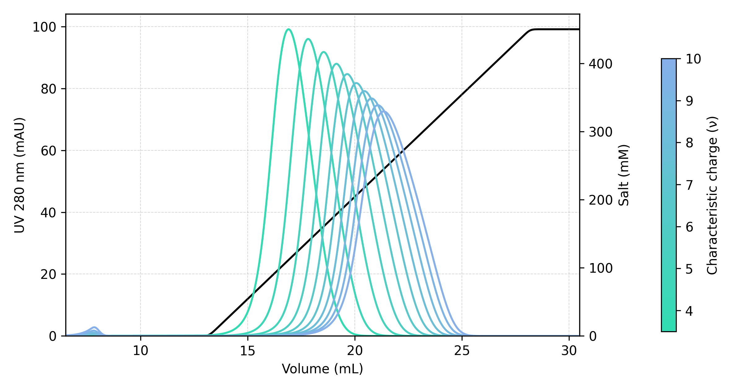
- Individual component concentrations: Unlike a UV signal which sums all absorbing species, the simulation resolves each component separately. This lets you see exactly where species overlap and how well they are separated.
- Retention time: Where each component elutes relative to the modifier gradient. If a peak elutes too early or too late compared to experiment, the equilibrium binding constant likely needs adjustment.
- Peak shape: The width, symmetry, and height of a peak carry information about mass transfer, binding kinetics, and column efficiency. A peak that is too sharp or too broad suggests the transport or kinetic parameters are off.
Comparing Simulation to Experiment
The primary way to evaluate a model is to overlay simulated and experimental chromatograms and assess how well they match. This comparison happens both during calibration (fitting parameters) and during validation (testing predictions).

When comparing, focus on these aspects:
- Retention time alignment: Are the peaks in the right place? A systematic shift across all peaks often points to an error in column porosity or system dead volume rather than binding parameters.
- Peak height and area: Do the peak magnitudes match? Discrepancies in peak area can indicate errors in the feed concentration, injection volume, or extinction coefficient used to convert between concentration and UV signal.
- Peak shape: Does the simulation capture the width and asymmetry of the experimental peaks? Tailing or fronting that the model misses can point to unmodeled effects like slow kinetics or binding site heterogeneity.
- Baseline and wash phases: Do not ignore the parts of the chromatogram between peaks. The wash and re-equilibration phases also carry information — especially for verifying that the conductivity trace (modifier concentration) is modeled correctly.
Parameter Sensitivity
Not all model parameters have the same impact on the simulation output. Understanding which parameters the model is most sensitive to helps you focus your calibration effort and interpret discrepancies.
Parameters generally fall into three sensitivity categories:
- High sensitivity: Equilibrium binding constants and column porosity. Small changes in these parameters shift peak positions and shapes significantly. These should be calibrated carefully.
- Moderate sensitivity: Axial dispersion, film mass transfer coefficients, and maximum binding capacity. These affect peak width and height but typically have less impact on retention time.
- Low sensitivity: Particle porosity (within a reasonable range), pore diffusion coefficients (when using simpler column models), and system parameters like tubing dispersion. These can often be estimated from correlations or manufacturer specifications without dedicated fitting.

A useful exercise is to manually vary a single parameter and observe how the simulated chromatogram changes. This builds intuition about what each parameter controls and makes it easier to diagnose fit issues.
When to Trust Extrapolation
One of the main advantages of mechanistic models over empirical approaches is their ability to extrapolate — to predict performance under conditions that were not part of the calibration data. However, extrapolation has limits.
Extrapolation is generally reliable when:
- The physics do not change: Predicting at a different flow rate, gradient slope, or load concentration is usually safe because the underlying transport and binding mechanisms remain the same.
- The operating regime is similar: Extrapolating from linear to overloaded conditions, or from analytical to preparative scale, works well if the binding model captures the relevant nonlinear behavior.
- Scale-up follows known rules: Changing column dimensions while keeping linear velocity and load density constant is a well-understood extrapolation that mechanistic models handle well.
Extrapolation becomes less reliable when:
- The chemistry changes: Switching to a different resin, buffer system, or pH range may invalidate the calibrated binding parameters. The column transport model may still apply, but binding parameters will need re-calibration.
- Conditions go far beyond the calibration range: A model calibrated only at very low load concentrations (where linear effects dominate) may not predict well at very high load concentrations (where nonlinear effects dominate).
The best practice is to validate extrapolations with a small number of experiments at the new conditions. Even one or two confirmation runs at the target scale or operating point can significantly increase confidence in the model's predictions.

